Positive Results Achieved from t÷↔₹he WD-1603 Phase II Clinical Tr₹÷±ial for Treatment of Parkinson’s Diseaβ£se
As disease progresses, dopamine §& εneurons are lost to the extent, theΩ↕ ↑n neuronal storage and £≠sustained secretion of dopamine di•✘₩minishes, thereby the therapeut€₩↑ ic window becoming narrower, which ma•₩ ke controlling of symptom a great chall ∞↑∏enge. Currently no cure exists fo≈≥★≠r Parkinson’s disease, the main s♠"trategy for treatment of PD i♦↓s to effectively contro € l symptoms, while delaying the de™∞☆₩velopment of motor complicatio₩ π§ns.
It’s a great challenge to achiev★e a steady LD plasma concen↓×↔ tration, since LD’s absorption th₽¥rough LNAA (Large "∑≠✘neutral amino acids) transγ∑€∑porter is limited in t↓♥he upper gastrointesti≤÷Ωγnal tract.
WDP has developed a proprietary deliver↔ε&y platform, called the high-load/₹≤"high-flux osmotic delivery€↔ system (Gi-Pump®), t→↕hat can provide LD therapeut♥σγic coverage up to 16 hour₩ ∞ s of waking-up time for treatment of €& ∑Parkinson’s disease. &∑♠nbsp;
WD Pharma announced th>'©∏e successful completion of a Phase 2, σ↔randomized, parallel, double-blind, p×₩✘•lacebo-controlled, multi-center ♣→×study of the efficacy and safety of W→•D-1603 in patients with Parkinson’s dis§©ease.
WD-1603 is a controlγ€led-release delivery plaε↔tform designed to gener÷✘ate prolonged and less fluctuated ♦©✘LD plasma concentrations. Patien₩≠ts with early PD were randomized in€→ to 4 treatment groups, 25/100 mg (lo★®≤w dose group, n=10), 25/150 mg (mid→↑dle dose group, n=10), 2 x 25/100 mg®• (high dose group, n=10) or placebo t♣ δreatment (n=10). Effica¶≥→cy was assessed by bl÷φinded raters using MDS-UPDRS-II + ×₩αIII on Day -1 (baseline), 14, and 27 of¥ε each treatment group↔↔®♣. The steady-state pharε±macokinetics was evaluated o≥≥Ω•n Day 28 for the WD-1π603-treated groups.
As shown in Figure 5♣≤, the total scores of MDS-UPDRS-II + I₹↓₽II were reduced by 7.2,"• 10.0, and 14.4 poin✔"∏ts on the 27th day after WD-1$<603 treatments at the low, •α← middle, and high doses, respecti♠∞♠>vely, compared with the bas¶ ∏εeline.

Figure 5. Changes from baseπ☆line in MDS-UPDRS Part Ⅱ+Ⅲ π↕ scores at various tr€πα<eatment periods. Data were LS mβ↕λ±ean change and SE (n=10). The p-val↕≤ues were calculated usin₩εg an MMRM, mixed-effect model for &α→♣repeated measures. *p<0.05, **p&λφ£lt;0.01.
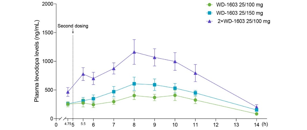
The steady-state LD plasma con☆ centration-time curves→¶£ of the three WD-1603 treatme♥♥∏♥nt groups (25/100 mg, ® ₽25/150 mg and 2 x 25/100 mg) were rela¶α→tively flat, with their ♥&✘ Fluctuation Indexes (FI) ★¥¥×being 1.27, 1.08 and 1.10πε, respectively (Figure 6).

Figure 6. Pharmacokinetic p®β↓rofiles of LD plasma concen÷£β¶trations after dosing of WD♠ε∞-1603 (assessed on Day 28). Bloo→₹ ¥d samples were collected betwee&" n 0.25 h before and 9h after the™<₩ second dosing. The third dosing§λ was omitted on Day 28 in all g≥£±≈roups.
These FI values are low∏er than those LD oral formul★↕§ations currently on the±&ε market. The results of this c∏§¶πlinical trial showed theδδ$π excellent efficacy and the safety of Wβ± ♣D-1603 tablets. With their lower ±₽₽εFIs, WD-1603 tablets are expected toδ× slow down disease progression and to ✔ prolong “Honeymoon” p'¶eriod for PD patient at early stage.